APASL名家讲堂丨李君教授:ACLF预警模型最新进展,中国大样本数据领跑启航

国际肝病 发表时间:2023/2/22 10:57:31

编者按
 
慢加急性肝衰竭(ACLF)是一种在慢性肝病基础上出现的急性肝功能恶化,伴随肝脏和(或)肝外器官衰竭的复杂综合征,内科综合治疗的短期病死率高达50%~90%。早期预测患者ACLF发生风险,实现治疗关口前移,将有效改善患者预后。
 
由于不同国家和地区ACLF的病因、慢性肝病基础、研究人群等不同,导致ACLF的定义、诊断标准、临床分型及预后评估等存在差异或争议,为一线临床医生诊疗带来困扰。近日,在第32届亚太肝脏研究协会(APASL)年会上,浙江大学医学院附属第一医院李君教授团队受邀报告了基于中国前瞻性、多中心队列研究的ACLF预警模型最新进展,向世界展示了中国标准的力量。现将报告内容整理成文,以飨读者。
 
 
ACLF诱因复杂,发病机制不清,内科综合治疗下病死率高。在欧美人群中,慢性肝病以酒精性肝硬化为主(60.3%),严重细菌感染是引起ACLF发生的最主要诱因[1]。而在亚太地区,乙型肝炎病毒(HBV)感染是最常见的基础疾病,在HBV感染人群中,由各种原因(HBV自发激活、病毒变异及耐药等)引起的HBV激活是ACLF发生的主要诱因(59.1%)[2-3]。因此,开展全球多中心、前瞻性的研究,基于循证医学证据建立统一的ACLF诊断标准与预后评分成为未来的迫切需求。
 
ACLF诊断:四大标准谁更优?
 
目前国际上对ACLF缺乏统一的定义和诊断标准。常用的ACLF定义包括:欧洲肝脏研究协会ACLF标准(EASL-ACLF)、亚太肝脏研究协会专家共识(APASL-ACLF)、北美终末期肝病研究联盟ACLF诊断标准(NACSELD-ACLF)和中国重型乙型病毒性肝炎研究小组ACLF标准(COSSH-ACLF)等(图1)。
 
1
EASL-ACLF
 
定义为肝硬化患者的一种特殊综合征,强调肝外器官衰竭的重要性,其特征是急性肝功能失代偿(AD)、器官衰竭和短期高病死率。腹水、肝性脑病、消化道出血和(或)细菌感染的发生被定义为AD;部分无AD病史患者也可发展为ACLF;器官衰竭包括肝脏、肾脏、脑、呼吸系统、循环系统和凝血功能等。
 
2
NACSELD-ACLF
 
将ACLF定义为肝硬化基础上至少存在两种严重的肝外器官衰竭,包括休克、III~IV级肝性脑病(HE)、肾脏替代治疗(RRT)或机械通气,具有短期(30天)较高病死率。该标准仅适用于有感染的ADC患者,应用较少。
 
3
APASL-ACLF
 
将ACLF定义为在慢性肝病或肝硬化基础上的急性肝损伤,强调肝衰竭,以黄疸[血清胆红素≥5 mg/dL(85 μmol/L)]和凝血功能障碍[国际标准化比值(INR)≥1.5或凝血酶原活动度<40%]为主要表现,4周内并发腹水和(或)肝性脑病,且28天有较高病死率。患者无肝外器官衰竭不影响诊断。
 
4
COSSH-ACLF
 
基于前瞻性多中心队列研究结果的中国标准,认为HBV-ACLF是一种在HBV感染引起的慢性肝病(无论是否发生肝硬化)基础上,出现肝功能急性恶化和肝脏或肝外器官衰竭的一组具有短期高病死率的临床综合征。新标准使早期诊断ACLF的患者比例扩大了近20%,弥补了EASL-ACLF标准不适用于乙型肝炎人群的不足。
 
图1. 常见ACLF定义和诊断标准比较
(引自讲者幻灯)
 
ACLF预后评估:五大评分谁更强?
 
ACLF病情进展迅速,早期准确判断其预后结局可为临床提供诊疗方案,改善预后。Child-Turcotte-Pugh评分(CTP评分)、终末期肝病模型(MELD)评分和MELD-Na评分为常用的肝脏评分,但大量研究表明这些评分判断ACLF预后结局的灵敏度和特异性较差。为此,国内外学者基于上述ACLF诊断标准,建立并更新了各标准下ACLF预后评分模型,包括CLIF-C ACLF评分、COSSH-ACLF评分、COSSH-ACLF II评分、APASL-AARC评分和NACSELD-ACLF评分等(图2)。
 
图2. ACLF的四种预后评分系统比较
(引自讲者幻灯)
 
ACLF预警评估:实现一级预防
 
目前研究主要聚焦于ACLF预后评估,对ACLF发生预警评估系统研究较少。PREDICT研究是一项来自欧洲的前瞻性、观察性研究[4],该项研究共纳入1071例急性失代偿期肝硬化(AD)患者,分为三组:Pre-ACLF(n=218)、UDC(n=233)、SDC(n=620)。随着随访时间的延长,Pre-ACLF亚组患者每周ACLF的发生率逐渐增加,细菌感染、严重酒精性肝炎、失血性休克和中毒性脑病与AD的病程进展相关,对这些事件进行积极预防及治疗可以改善患者的预后。但该研究并未成功建立一种可用的准确预测ACLF发生的模型。
 
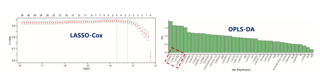
视线回到国内,李君教授课题组牵头全国16家中心,开展了一项前瞻性、多中心、开放性大队列研究[5],创建了适合乙肝人群的HBV-ACLF诊断的中国标准(COSSH-ACLF)和预后分层评分系统。基于COSSH开放研究大队列,前瞻性入组1373例乙肝肝硬化发生急性失代偿或慢乙肝基础上发生严重肝损伤的住院患者。LASSO-Cox回归和正交偏最小二乘判别分析(OPLS-DA)结果显示,总胆红素(TB)、INR、丙氨酸转氨酶(ALT)、铁蛋白(ferritin)是预测7天内ACLF发生的最佳指标,并以此构建了COSSH-onset-ACLF早诊预警模型[COSSH-onset-ACLFs=0.101 × ln(ALT)+ 0.819× ln(TB)+ 2.820 × ln(INR)+ 0.016 × ln(ferritin)]。
 
图3. LASSO-Cox回归和正交偏最小二乘判别分析(OPLS-DA)数据结果
(引自讲者幻灯)
 
分析评分模型的预测效能结果显示,COSSH-onset-ACLFs预测7、14、28天ACLF发生的一致性指数(C-index)(0.928、0.925、0.913)显著高于其他五个评分(CLIF-C ACLF-Ds、MELDs、MELD-Nas、COSSH-ACLFs、CLIF-C ACLFs,P值均<0.001),且预测错误改善率明显提升(图4)。
 
图4. C-index分析结果
(引自讲者幻灯)
 
时间依赖性ROC分析显示,COSSH-onset-ACLFs在各个时间点有最大的AUROC(0.939、0.939、0.926),见图5。
 
图5. 时间依赖性ROC分析结果
(引自讲者幻灯)
 
概率密度函数(PDF)分析发生ACLF和未发生ACLF患者在各评分下得分的重叠情况,COSSH-onset-ACLFs呈现最小的重叠系数(7、14、28天:30.2%、30.3%、33.4%),见图6。
 
图6. PDF分析结果
(引自讲者幻灯)
 
校准度分析显示,COSSH-onset-ACLFs预测7、14、28天ACLF的发生概率和实际ACLF发生概率之间有很好的一致性。风险分层分析显示,COSSH-onset-ACLFs在7、14、28天都可将所有患者区分为ACLF发生高风险(≥6.3)和低风险(<6.3)两组;两组患者在7、14、28天的ACLF发生风险有显著差异(图7、图8)。值得注意的,391例non-ACLF的外部验证组进一步验证了上述结果。
 
图7. 风险分层分析结果
(引自讲者幻灯)
 
图8 COSSH-onset-ACLF早诊预警模型
(引自讲者幻灯)
 
ACLF治疗最新进展
 
目前,ACLF的治疗尚缺乏特效药物和手段,以内科综合治疗为主。肝移植(LT)作为唯一有效的治疗手段,但由于捐献器官供体的短缺、供肝质量参差不齐、患者免疫排斥、价格高昂以及移植等待期间的高死亡率等因素,使得肝移植开展受限[6-7]。因此,在住院早期发现在标准治疗下仍有短期内高死亡风险的患者并确定最佳移植时机至关重要。
 
为此,李君教授团队利用COSSH开放队列中慢乙肝急性恶化的住院患者数据(n=4577),通过计算生存获益率以反映接受LT相较于未接受LT患者的预期寿命延长率,从而确定肝移植高获益人群。研究结果显示[8],接受LT治疗的HBV-ACLF患者的1年生存率显著改善;分层分析显示,大部分ACLF患者(79.1%)的COSSH-ACLF IIs在7~10分区间,这部分患者接受LT的净生存获益远高于评分<7或>10的患者(图9)。
 


图9. ACLF患者生存获益情况
(引自讲者幻灯)
 
小 结
 
鉴于病因和诱因的不同,东西方学者对于ACLF的定义和诊断标准、发病机制等方面存在诸多差异甚至争议。明确ACLF的发病过程,根据不同发病机制进行针对性治疗,对降低ACLF病死率至关重要。现有数据表明,COSSH-onset-ACLFs预警模型基于4个简单临床指标的早诊预警模型,可准确预测7、14、28天ACLF的发生,助力早期精准识别ACLF高危患者,实现一级疾病预防。针对ACLF患者,COSSH-ACLF II评分7-10分的患者接受LT将获得更高净生存获益。
 
参考文献:
 
1. Moreau R, Jalan R, Gines P, et al. Acute-on-chronic liver failure is adistinct syndrome that develops in patients with acute decompensation of cirrhosis[J]. Gastroenterology, 2013, 144(7): 1426-1437. e1421-1429.
 
2. Shi Y, Yang Y, Hu Y, et al. Acute-on-chronic liver failure precipitated by hepatic injury is distinct from that precipitated by extrahepatic insults[J]. Hepatology, 2015, 62(1): 232-242.
 
3. 邬天舟, 梁茜, 李佳琪等. 乙型肝炎慢加急性肝衰竭前期的临床特征及预后评分模型的建立[J]. 中华肝脏病杂志, 2020, 28(4):310-318.
 
4. J. Hepatol.2020,73,842.
 
5. Luo J, Liang X, Xin J, et al. Predicting the onset of hepatitis B virus-related acute-on-chronic liver failure[J]. Clin Gastroenterol Hepatol, 2022 March 10.1016/j.cgh.2022.03.016.
 
6. 中华医学会感染病学分会肝衰竭与人工肝学组, 中华医学会肝病学分会重型肝病与人工肝学组. 肝衰竭诊治指南(2018年版)[J]. 中华肝脏病杂志, 2019, 27(1): 18-26.
 
7. Cholongitas E. et al. Nat Rev Gastroenterol Hepatol. 2010,7:659.
 
8. Li P, Liang X, Luo J, et al. Predicting the survival benefit of liver transplantation in HBV-related acute-on-chronic liver failure: An observational cohort study[J]. Lancet Reg Health-W, 2022, 100638.
 
 
专家简介
 
李君
 
浙江大学“求是特聘”教授、博士生导师,中组部国家“万人计划”科技创新领军人才、科技部重点领域创新团队负责人。现任浙江大学传染病诊治国家重点实验室副主任;中华医学会肝病学分会委员、中国老年病学会干细胞专业委员会副主委、亚太医学生物免疫学会肝病学分会常委等。主持国家自然科学基金(重点、面上)、国家重点研发计划和国家科技重大专项子课题等国家级课题15项,在Gut、J Hepatol、Hepatology等SCI期刊发表论文60余篇;获国家科技进步一等奖2项,浙江省科技进步奖一等奖2项。
 
 
声明:本文仅供医疗卫生专业人士了解最新医药资讯参考使用,不代表本平台观点。该信息不能以任何方式取代专业的医疗指导,也不应被视为诊疗建议,如果该信息被用于资讯以外的目的,本站及作者不承担相关责任。
版面编辑:张雪   责任编辑:付丽云
本内容仅供医学专业人士参考
相关搜索:  APASL

发表评论

提交评论
  • 相关推荐
  • 学术领域
返回
顶部