APASL聚焦丨循环miR-122水平可预测HCC经动脉化疗栓塞术后的总生存

国际肝病 发表时间:2021/3/16 17:35:50

 
MicroRNA(miR)-122在肝脏生物学和包括肝细胞癌(HCC)在内的疾病中起着重要作用。本届亚太肝病研究学会(APASL)年会公布了一项研究(编号:E-09),该研究对循环miR-122水平在经动脉化疗栓塞(TACE)治疗的乙型肝炎病毒(HBV)相关HCC患者中的临床相关性和预后作用进行了分析,结果显示,在接受TACE治疗的HBV相关HCC患者中,循环miR-122的低水平表达与肿瘤晚期和总生存率低有关。《国际肝病》特此整理报道,详见下文。
 
研究方法
 
用Taqman探针实时定量PCR检测TACE前采集的血清样品中miR-122的水平并进行评估,通过绝对定量法测定miR-122的相对表达(倍数变化)。
 
研究结果
 
该研究共纳入100例接受TACE治疗的HBV相关HCC患者(84%为男性,平均年龄为60岁)。根据基线时miR-122水平的表达,将患者分为2组,中位临界值为4.3 log10 copies。结果显示,miR-122的低水平表达与肿瘤分期较晚密切相关。
 
表1.基线特征
 
 
(引自大会摘要E-09)
 
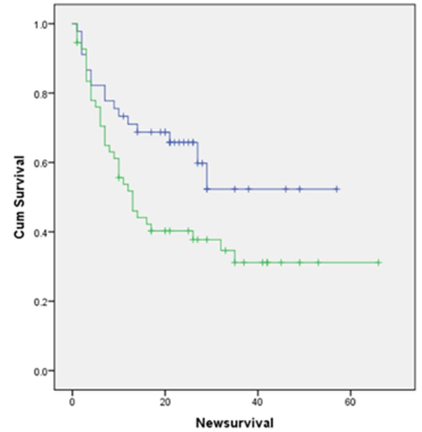
多因素分析表明,高AFP水平、晚期BCLC分期和miR-122低水平表达与低生存率独立相关。miR-122低水平表达和高水平表达患者的中位总生存期分别为12个月和21个月(对数秩检验,P=0.024)。
 
表2.用于预测总生存率的单因素和多因素分析
 
 
(引自大会摘要E-09)
 
图1.两组患者根据miR-122的表达情况:(1)miR-122低水平表达(<4.3 log10 copies):绿线(2)miR-122高水平表达(≥4.3 log10 copies):蓝线[Y轴显示累积(Cum)生存,X轴显示总生存时间。]
 
(引自大会摘要E-09)
 
研究结论
 
综合上述研究数据分析,在接受TACE治疗的HBV相关HCC患者中,循环miR-122低水平表达与肿瘤晚期和总生存率低有关。
 
参考文献:Natthaya Chuaypen, Piyawan Chailapakul, Nutcha Pinjaroen, et al. Circulating miR-122 levels at baseline predict overall survival of patients with hepatocellular carcinoma treated with transarterial chemoembolization. APASL2021 Poster Abstract E-09.
 
 
(来源:《国际肝病》编辑部)
版面编辑:张雪   责任编辑:陈加敏
本内容仅供医学专业人士参考

发表评论

提交评论
  • 相关推荐
  • 学术领域
返回
顶部