介入放射学治疗布加综合征的长期结局——专栏特辑

国际肝病 发表时间:2025/12/3 17:53:17

前言

“国际肝病-肝脏血管病专栏”是北部战区总医院消化内科祁兴顺医生应《国际肝病》编辑部邀请联合发起的学术专栏,定期收集整理肝脏血管病领域的研究进展,每两周(周三)挑选一篇重要文献进行精读讨论,希望能帮助读者知其然知其所以然,启迪临床科研思维、学以致用。


为进一步丰富专栏内容、促进多学科交流,现推出“肝脏血管病”专栏特辑,邀请全国从事肝脏血管病研究的临床医生、科研学者及专家团队,共同打造高质量、高影响力的学术平台。本期文章由西安国际医学中心医院消化病院韩国宏教授及其团队特约撰稿。


韩国宏教授


夏冬东


文章简述


布加综合征(BCS)是指从肝小静脉(HVs)至肝上段下腔静脉(IVC)任何水平的肝静脉流出道阻塞所致疾病(Valla DC, J Hepatol. 2009 Jan;50(1):195-203; Garcia-Pagán JC, et al. N Engl J Med. 2023 Apr 6;388(14):1307-1316)。针对这种罕见疾病,欧洲采用阶梯式治疗策略可实现74%的5年总生存率(Wang Q, et al. Abdom Radiol (N Y) 2018;43:1908–1919; Seijo S, et al. Hepatology 2013;57:1962-1968)。该策略以药物治疗为基础、肝移植为最终手段,并通过桥接介入治疗优化整体疗效(European Association for the Study of the Liver. J Hepatol 2016; 64:179–202; de Franchis R, et al. J Hepatol 2022; 76:959-974)。唯一的前瞻性队列研究显示,45%的欧洲BCS患者接受介入治疗,其中经颈静脉肝内门体分流术(TIPS)占80%,再通治疗占20%(Seijo S, et al. Hepatology 2013;57:1962-1968)。


鉴于中西方BCS患者病因学及阻塞形态学存在显著差异,我国治疗优先考虑在技术可行时恢复IVC/HV血流生理状态(Shukla A, et al. Hepatol Int 2021;15:531-567)。自1990年代起,国内多项研究均记载了介入治疗的主导应用趋势,且再通治疗较TIPS更受青睐(Zhang CQ, et al. World J Gastroenterol 2003;9:2587-2591; Xu PQ, et al. Hepatobiliary Pancreat Dis Int 2004;3:391-394; Han G, et al. Radiology 2013;266:657-667; Qi X, et al. Liver Int 2014;34:1164-1175)。由韩国宏教授团队开展的唯一随机对照试验证实,支架植入式血管成形术在短期疗效和安全性方面均优于单纯血管成形术(Wang Q, et al. Lancet Gastroenterol Hepatol 2019; 4:686-697)。


由于规范管理的BCS患者预期寿命较长,且TIPS在BCS患者中的功能障碍率高于肝硬化患者(同时桥接IVC与门静脉的操作难度更大)(Qi X, et al. Liver Int 2014;34:1164–1175; Garcia-Pagan JC, et al. Gastroenterology 2008;135:808–815.),有必要在中国更大人群中评估再通治疗与TIPS的长期预后。


Clinical Gastroenterology and Hepatology杂志于2025年7月在线发表一篇题为《介入放射学治疗布加综合征:基于中国997例患者的10年多中心回顾性研究》的文章,旨在评估BCS患者放射学介入治疗的长期结局。


Xia等共纳入来源于中国BCS高发地区的6家三家医院共计997例原发性BCS患者,其梗阻类型分为下腔静脉型(15.7%)、肝静脉型(16.2%)及混合型(68.1%)。绝大多数患者(93.5%)表现为中重度症状,其中60.7%的患者病程超过6个月。所有患者均接受抗凝治疗,其中117例(11.7%)仅接受药物治疗(包括65例无症状或轻度症状患者,52例开通治疗失败、不可行或拒绝治疗者);834例(83.7%)成功实现开通(单纯经皮血管成形术[PTA]566例,PTA联合常规支架植入术268例);90例(9.0%)接受TIPS置入(初始治疗46例,转换治疗44例);无患者接受肝移植。中位随访时间57.3个月期间,共103例(10.5%)死亡。5年总生存率、无TIPS生存率、无支架-TIPS生存率及无干预生存率分别为90.2%, 83.0%, 59.3%和10.6%。


重要研究结果分析及其临床意义


1. 开通再狭窄


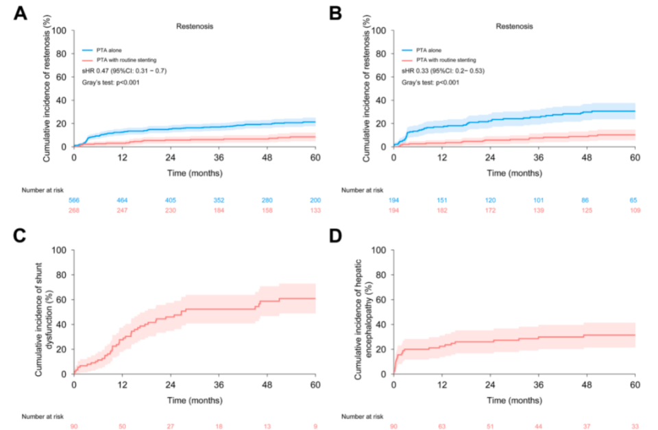
在接受PTA联合常规支架植入组治疗的268例患者中,34例(12.7%)发生至少1次再狭窄;在单独接受PTA治疗的566例患者中,126例(22.3%)出现再狭窄。再狭窄中位发生时间为开通治疗后9.7个月(IQR:3.2-33.3个月)。竞争风险分析显示,PTA联合常规支架植入组5年累积再狭窄率为10.8%(95%CI:6.8%-14.7%),单纯PTA组为23.6%(95%CI:19.7%-27.2%),两组存在显著差异(Gray检验P<0.001)(图1A)。经倾向评分匹配(194对)后,该差异仍保持统计学意义:支架植入组10.2%(5.7%-14.7%)vs 单纯PTA组30.6%(23.6%-37.6%)(Gray检验P<0.001)(图1B)。多因素竞争风险回归分析表明,无论匹配前后,常规支架植入均可显著降低再狭窄风险[匹配前sHR: 0.40(0.28-0.58), P<0.001; 匹配后sHR: 0.32(0.20-0.51), P<0.001]。


图1. (A) 倾向评分匹配之前接受PTA治疗或PTA联合支架植入术后的患者竞争风险校正的累积再狭窄发生率;(B) 倾向评分匹配之后接受PTA治疗或PTA联合支架植入术后的患者竞争风险校正的累积再狭窄发生率;(C)竞争风险校正后的TIPS支架分流功能障碍累积发生率和(D)竞争风险校正后的TIPS术后肝性脑病累积发生率。


2. TIPS支架功能障碍


TIPS病例中分流功能障碍发生率为52.2%(90例中47例;初始治疗组:46例中25例;转换治疗组:44例中22例),首次功能障碍中位时间为12.2个月(IQR:7.6-22.8个月)。全队列3年竞争风险调整后累积支架功能障碍发生率为52.3%(95%CI:40.8%-63.8%)(图1C),初始TIPS组与转换TIPS组间无统计学差异(sHR:1.05 (0.60-1.82);Gray检验P=0.87)(图2)。至随访结束时,多数分流功能障碍患者通过球囊血管成形术或血管内介入术进行TIPS修正,90例患者中86例保持TIPS通畅,5年二期通畅率为95.9%(91.4%-100%)(图3)。


图2.初始TIPS治疗与转做TIPS治疗组间竞争风险校正的累积支架功能障碍发生率比较


图3.TIPS支架累积二次通畅率(A)所有接受TIPS治疗患者;(B)初次TIPS治疗和转做TIPS治疗人群


3. TIPS术后肝性脑病


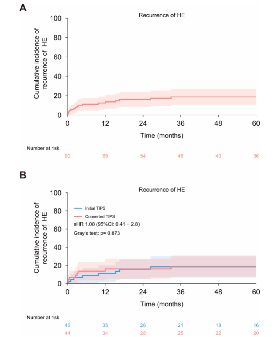
28例(31.1%)患者(初始TIPS组13例,转换TIPS组15例)在TIPS术后中位1.5个月(IQR:0.4-13.9个月)发生至少1次肝性脑病(HE)。竞争风险调整后累积发生率分别为:3个月20%(95%CI:11.7%-28.3%)、1年22.4%(13.7%-31.0%)、3年29.9%(20.2%-39.6%)(图1D)。多数病例(82.2%)为轻度至中度(I级或II级),16例患者在首次发作缓解后中位3.2个月(范围:0.2-36.6个月)出现复发。全队列HE复发竞争风险调整后累积发生率为:3个月7.78%、1年13.5%、3年18.69%(图4A)。初始与转换TIPS组间在HE累积发生率(sHR=1.15;95%CI:0.56-2.4;Gray检验P=0.7)(图5)及HE复发率(sHR=1.08;95%CI:0.41-2.85;Gray检验P=0.873)(图4B)方面均无显著差异。


图4.竞争风险校正的TIPS术后肝性脑病累积复发率:(A)所有接受TIPS治疗的患者;(B)初始接受TIPS治疗和转做TIPS治疗的患者。


图5. 初始接受TIPS治疗和转做TIPS治疗的患者竞争风险校正的累积肝性脑病发生率


4. 治疗后预后与死亡率


在中位57.3个月(四分位距:33.8-83.0个月)的随访期间,103例(10.5%)患者死亡,中位死亡时间为确诊后22.5个月(四分位距:9.4-54.9个月)。肝功能衰竭是最常见死因。总体而言,117例患者在研究期间未接受任何有创干预或经历干预失败。5年总生存率、无TIPS生存率、无支架-TIPS生存率及无干预生存率分别为90.2%(95%CI:88.2%-92.3%)、83.0%(80.5%-85.6%)、59.3%(56.2%-62.6%)和10.6%(8.8%-12.7%)(图6,P<0.001)。按意向性分析原则分析,单纯药物治疗组(65例)5年生存率为95.2%(90.0%-100%),拟开通治疗组(886例)为90.7%(88.6%-92.8%),初始TIPS组(46例)为74.5%(61.7%-90.0%)(图7B-D)。


图6. 整个队列总体生存率、TIPS-Free生存率、Stenting-TIPS-free 生存率、以及Intervention-free生存率分析。


图7.生存分析(A)整体队列;(B)内科治疗的患者;(C) 尝试开通治疗患者;(D)初始TIPS治疗患者。


综上所述,本研究证实介入放射学治疗可使中国布加综合征患者获得良好预后,5年生存率达90%。开通治疗作为主要治疗方式展现出优越疗效,常规支架植入术在改善通畅率方面更具优势。TIPS术后预后可能因高功能障碍率而充满挑战。仍需进一步验证介入治疗的疗效与安全性。


扫描下方二维码

无创评估食管静脉曲张模型&肝硬化预后模型

Liaoning评分 & 改良Liaoning评分


多中心研究合作单位招募


项目(一)肝硬化门静脉血栓患病率的多中心回顾性研究单位招募

门静脉血栓(PVT),尤其是完全阻塞性PVT,可增加肝硬化患者门静脉压力,进而增加腹水、食管胃静脉曲张破裂出血的风险。当前,妥善处理肝硬化门静脉血栓仍是棘手的临床问题。另外,肝硬化PVT的患病率也尚不明确,国内更是缺乏大型流行病学研究阐明这一问题。为此,北部战区总医院消化内科牵头开展了一项全国多中心回顾性研究,基于增强CT检查结果以明确肝硬化患者PVT的患病率,并进一步回顾性分析相关危险因素。现诚挚邀请消化科、肝病科、感染科和放射科等相关专业医生参与。


项目(二)内镜时机对肝硬化伴急性静脉曲张出血患者预后影响的多中心随机对照试验研究单位招募

肝硬化患者中,急性静脉曲张出血发病率为25%-40%,6周死亡率为10%-20%。内镜检查属于有创操作,且内镜下静脉曲张治疗对操作者的技术要求高。尽管内镜检查是肝硬化伴急性静脉曲张出血的重要选择,但内镜时机对肝硬化急性静脉曲张出血患者结局的影响仍存在争议。为此,北部战区总医院消化内科牵头开展了一项国际多中心随机对照试验,现诚挚邀请具备内镜下食管胃静脉曲张出血治疗条件的相关科室医生参与。


项目(三)肝硬化显性肝性脑病输注人血白蛋白的疗效的多中心随机对照试验研究单位招募

肝硬化是慢性肝病的终末期阶段,肝硬化患者肝性脑病发生率为30-40%,且肝性脑病的一年生存率低于50%,三年生存率低于25%。其不仅严重影响肝硬化患者的预后,并且给医疗系统带来沉重的负担。输注人血白蛋白可能适用于肝硬化肝性脑病的治疗,既往研究和荟萃分析已经证明了其临床益处。然而,人血白蛋白的成本极大地影响了其在临床实践中的全面应用,临床医师常以相对较小的剂量(10-20g/d)开具人血白蛋白处方。为此,北部战区总医院消化内科牵头开展了一项多中心随机对照试验,探索是否可以通过增加人血白蛋白的输注剂量,进一步改善肝硬化肝性脑病患者的结局。现诚挚邀请消化科、肝病科、和感染科等相关专业医生参与。


项目(四)糖皮质激素治疗急性药物性肝损伤伴高胆红素血症的疗效的多中心随机对照试验研究单位招募

药物性肝损伤是指由药品、中药材、天然药物、保健品、膳食补充剂或其代谢产物、辅料、污染物、杂质等所导致的肝损伤。轻度药物性肝损伤患者可仅表现出非特异性胃肠道症状,而伴有严重高胆红素血症的患者可发展至急性肝衰竭,表现为肝功能明显恶化、黄疸、凝血功能障碍,甚至死亡。糖皮质激素可能是一种治疗的潜在手段,但其疗效及在临床实践指南的推荐价值尚存争议。为此,北部战区总医院消化内科牵头开展了一项多中心随机对照试验,以探讨糖皮质激素治疗急性药物性肝损伤伴高胆红素血症的疗效,有助于为优化药物性肝损伤的治疗方案提供高质。现诚挚邀请消化科、肝病科、和感染科等相关专业医生参与。


若您对以上任一研究项目感兴趣,可与我们联系,以获得更详细的研究信息。

联系人:

尹医生(项目一)

邮箱:yyh787659825@163.com,微信:YYH10122412

李医生(项目二、三、四)

邮箱:1208594776@qq.com,微信:lqq52708


专家简介


韩国宏 教授

西安国际医学中心医院消化与外周血管介入科

主任医师、教授、博士生导师

国际门静脉高压最权威Baveno Ⅶ 专家组成员、科学委员会委员

亚太原发性肝癌理事会理事(APPLE Council Member)

中国抗癌协会第九届理事会理事

中国非公立医疗机构协会介入医学分会会长

中国抗癌协会-中西医整合肝癌专委会主委

中国抗癌协会-整合肝癌专委会和肿瘤肝病学专委会副主委

中国研究型医院学会-介入专委会副主委卫健委原发性肝癌诊疗指南专委会介入治疗组副组长(2011版、2017版、2019版、2022版和2024版)


作者简介


夏冬东

西安国际医学中心医院 主治医师

中国医师协会介入学分会青年委员

CSCO生物统计学专家委员会委员

主要从事肝胆胰恶性肿瘤介入及系统治疗、门脉高压并发症和布加综合征介入治疗相关临床及研究工作

以主要执笔人参编中国肝细胞癌经动脉化疗栓塞(TACE)治疗临床实践指南( 2021和2023 版)

以第一作者(含共一)在 J Hepatol、Clin Gastroenterol & Hepatol、Liver cancer、JHEP Reports、European Radiology等发表SCI论著10余篇



(来源:《国际肝病》编辑部)

声明:本文仅供医疗卫生专业人士了解最新医药资讯参考使用,不代表本平台观点。该信息不能以任何方式取代专业的医疗指导,也不应被视为诊疗建议,如果该信息被用于资讯以外的目的,本站及作者不承担相关责任。

版面编辑:张雪   责任编辑:付丽云
本内容仅供医学专业人士参考
相关搜索:  介入

发表评论

提交评论
  • 相关推荐
  • 学术领域
返回
顶部