国际肝病 发表时间:2025/11/5 20:21:19
前言
“国际肝病-肝脏血管病专栏”是北部战区总医院消化内科祁兴顺医生应《国际肝病》编辑部邀请联合发起的学术专栏,定期收集整理肝脏血管病领域的研究进展,每两周(周三)挑选一篇重要文献进行精读讨论,希望能帮助读者知其然知其所以然,启迪临床科研思维、学以致用。
为进一步丰富专栏内容、促进多学科交流,现推出“肝脏血管病”专栏特辑,邀请全国从事肝脏血管病研究的临床医生、科研学者及专家团队,共同打造高质量、高影响力的学术平台。本期文章由西安国际医学中心医院消化病院韩国宏教授及其团队特约撰稿。
韩国宏教授
夏冬东
Liver International杂志于2025年7月在线发表了一篇文章题为《预测布加综合征开通治疗患者长期预后的新型评分系统:一项多中心研究》的文章。该文章旨在利用易获得的实验室或临床变量建立一个针对开通治疗的特异性预后评分系统,以识别长期预后不良的高危个体。
Xia等纳入2010年1月至2019年5月中国6个中心共计834例成功接受开通治疗的BCS患者,主要观察终点为TIPS-free survival, 采用Cox多变量回归方法构建模型,并通过1000次自助法进行内部验证,同时将其预测性能与Clichy评分等现有BCS预后模型进行了比较。
本研究最终纳入834例初始接受开通治疗的患者。根据病变形态学分型,下腔静脉型(IVC-type)、肝静脉型(HV-type)和混合型(combined-type)患者分别占15.7%(131/834)、13.1%(109/834)和71.2%(594/834)。初始治疗中,单纯PTA治疗组占67.8%(566/834),PTA联合常规支架植入组占32.1%(268/834)。病程超过6个月的患者约占60%。从确诊至初始治疗的中位时间间隔为4天(IQR:3-6天)。中位随访时间为58.0个月(IQR:35.2-85.0),单纯PTA治疗组中有13例患者、PTA联合常规支架植入组中有31例患者转为接受TIPS治疗,中位转TIPS时间为16.8个月。共有160例患者发生至少一次再狭窄,633例患者未出现症状复发。
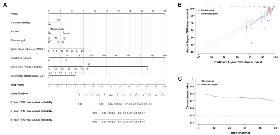
多因素分析结果显示,静脉曲张出血史、腹水程度、白细胞计数、白蛋白、碱性磷酸酶、尿素和肌酐水平是无TIPS生存率的显著预测因子。基于这些变量及其系数,我们建立了名为"BCS-Recanalization score"的列线图 (图1A):Prognostic index=0.551×variceal bleeding (no=0, yes=1) +ascites (no=0, mild∕moderate=0.337, severe=0.995) +0.07×white blood cell count (×109∕L)+0.018×creatinine (μmol∕L) +0.432×Ln(alkaline phosphatase, U∕L) -0.034×albumin (g∕L) -0.1×urea (mg∕dL)
该评分在总体队列中表现出良好的校准度(Hosmer-Lemeshow χ2=7.248,P=0.51)。通过1000次自助重采样的内部验证显示优异的校准能力(图1B),并呈现一致的区分度:1年、3年和5年无TIPS生存率的时依C指数分别为0.76(95%CI:0.69-0.83)、0.74(0.65-0.79)和0.70(0.59-0.74)(图1C),证实其具有稳健的内部效度。与其他模型相比较BCS-Recanalization score的预测能力优于其它模型(图2)。
图1 (A)基于BCS-Recanalization评分的列线图,用于预测接受再通治疗的BCS患者的TIPS无生存期;(B)基于BCS-Recanalization评分列线图的时间依赖性C-指数和内部验证;(C)基于BCS-Recanalization评分列线图的校准曲线及内部验证
图2. BCS-Recanalization评分与其它评分的预测能力比较:(A)Time-dependent c-index, (B) time-dependent R2, (C) time-dependent Brier score, (D) Decision curve analysis.
通过X-tile软件进行风险分层,根据两个最佳截断值(2.0和2.6)将患者分为三个无TIPS生存风险阶层:低风险(≤2.0,n=486)、中风险(2.0-2.6,n=222)和高风险(>2.6,n=126)。全队列中三组的5年无TIPS生存率存在显著差异:分别为92.2%(95%CI:89.5%-95.0%)、84.7%(80.0%-90.0%)和67.8%(59.4%-77.5%)(P<0.001,图3A).此外,三个危险层的5年OS和Stent-TIPS-free survival也存在显著性差别(图3B-C)。
图3.基于BCS-Recanalization的生存分析(临界值2.0和2.6):(A) TIPS-free survival. (B) Stenting-TIPS-free survival. (C). Overall survival.
进一步发现BCS-Recanalization score 可将疾病进展相关结局(再狭窄、症状复发和转做TIPS)进一步分层,竞争风险分析显示:三组之间上述指标均存在显著性差异(图4A-D)。
图4.基于BCS-Recanalization评分对疾病相关结局的竞争风险分析:(A)单纯PTA组再狭窄发生率;(B)PTA联合常规支架植入组再狭窄发生率;(C)症状复发率;(D)累积转做TIPS治疗发生率
总之,基于大样本BCS开通治疗患者数据,我们开发并在内部验证了一个新型、简便、连续性的BCS-Recanalization score系统。该评分在预测临床结局方面展现出卓越的区分度和拟合优度,并能将患者分为具有显著不同长期预后的三个风险阶层。未来研究需进一步验证这些发现并对BCS-Recanalization score进行外部验证。
扫描下方二维码
无创评估食管静脉曲张模型&肝硬化预后模型
Liaoning评分 & 改良Liaoning评分
项目(一)肝硬化门静脉血栓患病率的多中心回顾性研究单位招募
门静脉血栓(PVT),尤其是完全阻塞性PVT,可增加肝硬化患者门静脉压力,进而增加腹水、食管胃静脉曲张破裂出血的风险。当前,妥善处理肝硬化门静脉血栓仍是棘手的临床问题。另外,肝硬化PVT的患病率也尚不明确,国内更是缺乏大型流行病学研究阐明这一问题。为此,北部战区总医院消化内科牵头开展了一项全国多中心回顾性研究,基于增强CT检查结果以明确肝硬化患者PVT的患病率,并进一步回顾性分析相关危险因素。现诚挚邀请消化科、肝病科、感染科和放射科等相关专业医生参与。
项目(二)内镜时机对肝硬化伴急性静脉曲张出血患者预后影响的多中心随机对照试验研究单位招募
肝硬化患者中,急性静脉曲张出血发病率为25%-40%,6周死亡率为10%-20%。内镜检查属于有创操作,且内镜下静脉曲张治疗对操作者的技术要求高。尽管内镜检查是肝硬化伴急性静脉曲张出血的重要选择,但内镜时机对肝硬化急性静脉曲张出血患者结局的影响仍存在争议。为此,北部战区总医院消化内科牵头开展了一项国际多中心随机对照试验,现诚挚邀请具备内镜下食管胃静脉曲张出血治疗条件的相关科室医生参与。
项目(三)肝硬化显性肝性脑病输注人血白蛋白的疗效的多中心随机对照试验研究单位招募
肝硬化是慢性肝病的终末期阶段,肝硬化患者肝性脑病发生率为30-40%,且肝性脑病的一年生存率低于50%,三年生存率低于25%。其不仅严重影响肝硬化患者的预后,并且给医疗系统带来沉重的负担。输注人血白蛋白可能适用于肝硬化肝性脑病的治疗,既往研究和荟萃分析已经证明了其临床益处。然而,人血白蛋白的成本极大地影响了其在临床实践中的全面应用,临床医师常以相对较小的剂量(10-20g/d)开具人血白蛋白处方。为此,北部战区总医院消化内科牵头开展了一项多中心随机对照试验,探索是否可以通过增加人血白蛋白的输注剂量,进一步改善肝硬化肝性脑病患者的结局。现诚挚邀请消化科、肝病科、和感染科等相关专业医生参与。
项目(四)糖皮质激素治疗急性药物性肝损伤伴高胆红素血症的疗效的多中心随机对照试验研究单位招募
药物性肝损伤是指由药品、中药材、天然药物、保健品、膳食补充剂或其代谢产物、辅料、污染物、杂质等所导致的肝损伤。轻度药物性肝损伤患者可仅表现出非特异性胃肠道症状,而伴有严重高胆红素血症的患者可发展至急性肝衰竭,表现为肝功能明显恶化、黄疸、凝血功能障碍,甚至死亡。糖皮质激素可能是一种治疗的潜在手段,但其疗效及在临床实践指南的推荐价值尚存争议。为此,北部战区总医院消化内科牵头开展了一项多中心随机对照试验,以探讨糖皮质激素治疗急性药物性肝损伤伴高胆红素血症的疗效,有助于为优化药物性肝损伤的治疗方案提供高质。现诚挚邀请消化科、肝病科、和感染科等相关专业医生参与。
若您对以上任一研究项目感兴趣,可与我们联系,以获得更详细的研究信息。
联系人:
尹医生(项目一)
邮箱:yyh787659825@163.com,微信:YYH10122412
李医生(项目二、三、四)
邮箱:1208594776@qq.com,微信:lqq52708
专家简介
夏冬东
西安国际医学中心医院 主治医师
中国医师协会介入学分会青年委员
CSCO生物统计学专家委员会委员
主要从事肝胆胰恶性肿瘤介入及系统治疗、门脉高压并发症和布加综合征介入治疗相关临床及研究工作
以主要执笔人参编中国肝细胞癌经动脉化疗栓塞(TACE)治疗临床实践指南( 2021和2023 版)
以第一作者(含共一)在 J Hepatol、Clin Gastroenterol & Hepatol、Liver cancer、JHEP Reports、European Radiology等发表SCI论著10余篇
专家简介
韩国宏 教授
西安国际医学中心医院消化与外周血管介入科
主任医师、教授、博士生导师
国际门静脉高压最权威Baveno Ⅶ 专家组成员、科学委员会委员
亚太原发性肝癌理事会理事(APPLE Council Member)
中国抗癌协会第九届理事会理事
中国非公立医疗机构协会介入医学分会会长
中国抗癌协会-中西医整合肝癌专委会主委
中国抗癌协会-整合肝癌专委会和肿瘤肝病学专委会副主委
中国研究型医院学会-介入专委会副主委
卫健委原发性肝癌诊疗指南专委会介入治疗组副组长(2011版、2017版、2019版、2022版和2024版)
(来源:《国际肝病》编辑部)
声明:本文仅供医疗卫生专业人士了解最新医药资讯参考使用,不代表本平台观点。该信息不能以任何方式取代专业的医疗指导,也不应被视为诊疗建议,如果该信息被用于资讯以外的目的,本站及作者不承担相关责任。