非ACLF肝硬化患者出院后ACLF风险预测模型的建立与分级管理价值

国际肝病 发表时间:2025/9/1 12:51:26

前言

“慢加急性肝衰竭(ACLF)主题月评”是中国慢(加急)性肝衰竭联盟受《国际肝病》编辑部邀请,制作的ACLF相关学术月评专栏。本专栏每月以ACLF某一特定领域为主题展开,旨在普及ACLF的概念及意义、帮助读者快速了解有关领域的进展。希望本专栏对无论是需要了解相关领域热点的肝病专家及研究人员,或是需要实用知识、活跃于临床一线的医务工作者,均能有所裨益。


本期月评阐述了建立非ACLF失代偿肝硬化患者出院后ACLF风险的预测模型,特别是不同风险等级患者的分级管理。为临床对于非ACLF失代偿肝硬化患者的管理提供参考。最后,对本月(2025.07.21-2025.08.20)PubMed上更新的ACLF相关重要文献进行简评。


关于作者:

中国慢(加急)性肝衰竭联盟(Chinese Acute-on-chronic liver failure Consortium,Ch-CLIF-C)是由上海交通大学附属仁济医院消化内科李海教授牵头,由全国17家三甲医院感染科/肝病中心共同参与成立的肝病科研合作团队,致力于探索慢加急性肝衰竭(ACLF)的发病机制、制定基于高循证等级的乙肝高流行区ACLF诊断标准。目前团队开展了全球已报道入组数最多的ACLF前瞻性多中心队列研究“CATCH LIFE”(Chinese AcuTe-on-CHronic LIver FailurE),包含2个大型队列(入组2600例的探索队列与入组1370例的验证队列)。

本期责任编辑

李海教授

上海交通大学医学院附属仁济医院消化内科主任医师,卫生部消化重点实验室副主任,仁济浦东分院消化科主任。研究方向为慢加急性肝衰竭。牵头组织全国14家三甲医院肝病中心开展慢加急性肝衰竭前瞻性研究(CATCH-LIFE Study),该研究入组23970余例患者,成为全球入组数量最多之一的慢加急肝衰竭领域临床研究。


本期责任副编辑

乔良

上海交通大学附属第一人民医院消化科,新疆喀什二院消化内镜中心主任。专业方向为ERCP、肿瘤支架等消化道内镜介入手术,慢加急性肝衰竭临床研究。


主题述评


肝硬化是全球范围内的重要健康问题,其急性失代偿(AD)事件是患者住院的主要原因之一1,2。尽管多数AD患者在住院期间病情稳定后得以出院,但其出院后长期后仍具有高度异质性,再入院率和长期死亡率居高不下3-5。其中那些没有发展为ACLF的AD患者虽然短期风险较低,但长期仍面临较高的ACLF发生、再入院和死亡风险3-5。目前,临床上缺乏专门针对此类患者出院后ACLF发生风险的精准预测工具6,7。本文基于中国多中心前瞻性队列研究(CATCH-LIFE)8,9,开发并验证了一个新型预后评分系统,旨在动态预测非ACLF肝硬化患者出院后1年内不良结局(死亡或肝移植)的风险,并为临床分级管理提供关键依据。


01

研究背景与临床需求


肝硬化的AD事件如腹水、肝性脑病、消化道出血等,不仅导致患者频繁住院,也显著增加了医疗系统的压力2。ACLF是一种高发于肝硬化AD患者严重的临床综合征,亦是其短期死亡的主要原因之一10。尽管ACLF备受关注,但大多数住院肝硬化AD患者并未在住院期间发展为ACLF,而是在病情稳定后出院。这类患者出院后的管理缺乏统一、有效的ACLF发生风险评估工具,导致临床医生往往依赖如MELD11,MELD-Na12和CLIF-C AD13等传统评分系统,但这些评分在预测出院后ACLF发生和长期结局方面表现不佳6,7。


此外,患者和家属常对出院后的病情进展存在低估,认为“出院即安全”,忽视了后续随访和干预的重要性14。因此,开发一个专门针对非ACLF肝硬化患者出院后ACLF发生风险的预测模型,并建立相应的分级管理策略,具有重要的临床和公共卫生意义。


02

研究设计与方法


本研究基于CATCH-LIFE队列,纳入1833例非ACLF的肝硬化患者,分为探索队列(1212例)和验证队列(621例)。所有患者均因AD入院2,且在住院期间未发展为ACLF(依据EASL-CLIF标准10),病情稳定后出院。研究主要终点为出院后1年内的全因死亡或肝移植。


图1. 非ACLF的肝硬化急性失代偿患者筛选


研究采用了两阶段变量筛选策略:首先通过单因素逻辑回归初步筛选变量(P<0.1),再使用LASSO回归15进一步压缩变量维度,最终通过多因素逻辑回归建立预测模型。这种方法有效避免了多重共线性问题,提高了模型的稳健性和可解释性。


03

模型参数与模型性能


最终模型包含六个预测因子:年龄、既往失代偿史(PD)、总胆红素(TB)、国际标准化比值(INR)、白蛋白(ALB)和血红蛋白(Hb)。模型公式(表1):P=0.04×年龄(岁)+0.74×PD史(有=1,无=0)+0.12×TB(mg/dL)+0.53×INR-0.06×ALB(g/L)-0.02×Hb(g/L)-2.38。


表1. 在探索队列中对1年不良结局的多变量逻辑回归建模参数


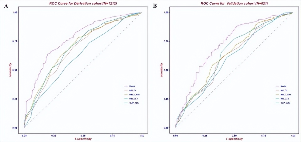
新模型在1年不良事件的预测中,探索队列中AUC为0.7767(0.7408-0.8125),在验证队列中为0.7274(0.6656-0.7892),显著优于MELD、MELD-Na、MELD 3.016和CLIF-C AD等现有评分(图2,P均<0.001)。此外,该模型在HBV相关肝硬化亚组中表现尤为突出,提示其在中国人群中的适用性。


图2. 新模型与现有模型在预测1年不良结局能力上的比较


04

临床应用与风险分层:实现ACLF高危人群的动态识别与分级管理


本研究的核心临床价值在于所开发的ACLF风险预测模型能够对患者出院后一年内因ACLF导致的死亡风险进行动态评估。该模型通过六个常规临床指标,实现了对ACLF高危人群的准确识别,为临床开展有针对性的预防与早期干预提供了重要依据。


研究者根据Youden指数确定了两个风险阈值:0.11(低风险)和0.27(高风险),将患者分为低、中、高三组(图3)。在验证队列中,低风险组患者数占比42.3%,其的1年不良事件发生率仅为6.05%;中风险组占比40.47%,1年不良事件发生率为12.98%,而高风险组患者数占比17.7%,但风险高达43.96%。更重要的是,所有发生不良结局的高风险患者均于90天内再入院,表明这些患者实际上处于ACLF发生的高危状态。


图3. 验证队列低、中、高危患者1年生存率的Kaplan-Meier曲线


针对占比近20%的高危患者,由于其有具有极高的ACLF发生风险,需要接受重点监测与管理。建议对该类患者实施为期三个月内的密集监测,即在至少每2周进行一次全面评估三级医院肝病专科密切随访及全面评估,重点观察AD事件等肝硬化不稳定表现及肝肾功能、血象、电解质。若三个月后患者情况相对稳定,仍建议每月在三甲医院进行定期监测,以早期预防ACLF的发生17。监测应重点关注炎症指标和器官功能变化,因为ACLF的发生常与感染、炎症反应激活密切相关10,18。


对于中风险患者(约占40%),建议在社区医院基础上结合三甲医院的定期评估,可在出院后1个月、3个月、6个月和12个月时前往三甲医院进行全面检查。而低风险患者(约占42%)则可在社区医院进行常规随访,减轻医疗负担,提高患者生活质量。


05

研究意义与局限性


该研究首次针对非ACLF肝硬化患者出院后的ACLF发生风险建立了专门的风险预测模型,填补了当前临床实践中的空白。模型所纳入的变量均为临床常规检测项目,易于获取,具有良好的推广性。更重要的是,该模型实现了对ACLF高危人群的准确识别,为临床分级管理和干预性研究提供了基础。


然而,本研究也存在一定局限性。首先,随访时间仅为1年,未能覆盖肝硬化患者的整个自然病程;其次,研究未考虑具体药物治疗(如抗生素、非选择性β受体阻滞剂等)对预后的影响,这可能限制了模型在干预研究中的应用;此外,模型在非HBV病因患者中的表现仍需进一步验证。


总结与展望


本研究开发并验证了一个适用于非ACLF肝硬化患者出院后ACLF风险分层的新型评分系统,其预测性能显著优于现有模型,具有较高的临床实用价值。通过将患者分为高、中、低三个风险等级,并为不同风险群体制定相应的管理策略,本模型为肝硬化的分级诊疗提供了科学依据。


未来研究可进一步整合代谢组学19、炎症指标等新型生物标志物,提升ACLF预测精度;同时,应基于本模型筛选的高危人群,开展干预性研究,验证针对性管理策略是否能真正降低ACLF的发生率和病死率。该模型的出现,标志着肝硬化患者管理从“住院治疗”向“全程管理”迈进的重要一步,为实现肝硬化的精准医疗提供了有力工具。


参考文献:

1. Tsochatzis EA, Bosch J, Burroughs AK. Liver cirrhosis. The Lancet. 2014;383(9930):1749-1761.

2. D'Amico G, Bernardi M, Angeli P. Towards a new definition of decompensated cirrhosis. J Hepatol. Jan 2022;76(1):202-207. doi:10.1016/j.jhep.2021.06.018

3. Balcar L, Semmler G, Pomej K, et al. Patterns of acute decompensation in hospitalized patients with cirrhos is and course of acute-on-chronic liver failure. United European gastroenterology journal. 2021/5// 2021;9(4):427-437. doi:10.1002/ueg2.12089

4. Garcia-Pagan JC, Francoz C, Montagnese S, Senzolo M, Mookerjee RP. Management of the major complications of cirrhosis: Beyond guidelines. Journal of hepatology. 2021/7// 2021;75 Suppl 1:S135-S146. doi:10.1016/j.jhep.2021.01.027

5. Pompili E, Baldassarre M, Zaccherini G, et al. Low haemoglobin level predicts early hospital readmission in patients with cirrhosis and acute decompensation. JHEP Rep. May 2023;5(5):100698. doi:10.1016/j.jhepr.2023.100698

6. Hu C, Anjur V, Saboo K, et al. Low Predictability of Readmissions and Death Using Machine Learning in Cirrhosis. Am J Gastroenterol. Feb 1 2021;116(2):336-346. doi:10.14309/ajg.0000000000000971

7. Kartoun U, Corey KE, Simon TG, et al. The MELD-Plus: A generalizable prediction risk score in cirrhosis. PloS one. 2017/10/25/ 2017;12(10):e0186301. doi:10.1371/journal.pone.0186301

8. Gu WY, Xu BY, Zheng X, et al. Acute-on-Chronic Liver Failure in China: Rationale for Developing a Patient Registry and Baseline Characteristics. Am J Epidemiol. Sep 1 2018;187(9):1829-1839. doi:10.1093/aje/kwy083

9. Qiao L, Wang X, Deng G, et al. Cohort profile: a multicentre prospective validation cohort of the Chinese Acute-on-Chronic Liver Failure (CATCH-LIFE) study. BMJ Open. Jan 8 2021;11(1):e037793. doi:10.1136/bmjopen-2020-037793

10. Moreau R, Jalan R, Gines P, et al. Acute-on-chronic liver failure is a distinct syndrome that develops in patients with acute decompensation of cirrhosis. Gastroenterology. Jun 2013;144(7):1426-37, 1437.e1-9. doi:10.1053/j.gastro.2013.02.042

11. Kamath PS, Wiesner RH, Malinchoc M, et al. A model to predict survival in patients with end-stage liver disease. Hepatology (Baltimore, Md). 2001/2// 2001;33(2):464-70. doi:10.1053/jhep.2001.22172

12. Biggins SW, Kim WR, Terrault NA, et al. Evidence-based incorporation of serum sodium concentration into MELD. Gastroenterology. 2006/5// 2006;130(6):1652-60. doi:10.1053/j.gastro.2006.02.010

13. Jalan R, Pavesi M, Saliba F, et al. The CLIF Consortium Acute Decompensation score (CLIF-C ADs) for prognosis of hospitalised cirrhotic patients without acute-on-chronic liver failure. J Hepatol. Apr 2015;62(4):831-40. doi:10.1016/j.jhep.2014.11.012

14. Ufere NN. Increasing Healthcare System Empathy for Patients with Advanced Liver Disease: My Top 10 Lessons in Palliative Hepatology. Digestive Diseases and Sciences. 2024/05/04 2024;doi:10.1007/s10620-024-08406-9

15. Tibshirani R. Regression Shrinkage and Selection Via the Lasso. Journal of the Royal Statistical Society: Series B (Methodological). 1996;58(1):267-288. doi:10.1111/j.2517-6161.1996.tb02080.x

16. Kim WR, Mannalithara A, Heimbach JK, et al. MELD 3.0: The Model for End-Stage Liver Disease Updated for the Modern Era. Gastroenterology. 2021/12// 2021;161(6):1887-1895.e4. doi:10.1053/j.gastro.2021.08.050

17. Piano S, Tonon M, Vettore E, et al. Incidence, predictors and outcomes of acute-on-chronic liver failure in outpatients with cirrhosis. J Hepatol. Dec 2017;67(6):1177-1184. doi:10.1016/j.jhep.2017.07.008

18. Gustot T, Durand F, Lebrec D, Vincent JL, Moreau R. Severe sepsis in cirrhosis. Hepatology. Dec 2009;50(6):2022-33. doi:10.1002/hep.23264

19. Zhang Y, Tan W, Wang X, et al. Metabolic biomarkers significantly enhance the prediction of HBV-related ACLF occurrence and outcomes. J Hepatol. Nov 2023;79(5):1159-1171. doi:10.1016/j.jhep.2023.07.011


近一月ACLF研究优秀论文简评


2025.07.21-2025.08.20在Pubmed上在线发表关于ACLF相关文献共17篇,涉及诊断及预后、治疗、与发病机制,具体分布见下图。



01

Luo J, Hu M, Feng T, et al. Performance of the China-CLIF framework in acute-on-chronic liver failure: a multicohort study across all aetiologies. Gut. Published online August 7, 2025. doi:10.1136/gutjnl-2025-335651(IF=25.8)


简述:该研究在COSSH队列和三个非亚洲队列CANONIC、PREDICT、ACLARA中,最终纳入5288例进行分析,应用CLIF标准和COSSH标准评估ACLF患者的流行病学特征、器官衰竭情况、严重程度分级分布及短期病死率,并比较了COSSH-ACLF Ⅱ与六种常用预后评分的预测性能。


结果显示,与CLIF的ACLF标准相比,COSSH标准额外诊断了22.6%(n=1194)的患者为ACLF,其28天/90天无移植死亡率分别为19.1%/31.4%;而仅由APASL标准诊断的ACLF患者表现出相对较轻的临床特征,其28天无移植死亡率为9.5%。


研究发现,在符合CLIF标准的844例ACLF患者中,其中ACLF-1、ACLF-2和ACLF-3级分别为25.8%、56.3%和17.9%,而在符合COSSH标准的2038例ACLF患者中,ACLF-1、ACLF-2和ACLF-3级分别为63.4%、27.5%和9.1%。


此外,该研究评估COSSH-ACLF Ⅱ模型的28天/90天无移植死亡率预后效能。结果显示,在CLIF标准下全病因和非乙肝ACLF人群中AUROC[0.757(0.720-0.794)/0.733(0.693-0.773)],AUROC[0.803(0.751-0.855)/0.781(0.727-0.836)]。在COSSH标准下全病因和非乙肝ACLF人群中AUROC[0.790(0.766-0.814)/0.768(0.745-0.791)],AUROC[0.781(0.734-0.827)/0.742(0.699-0.736)],并与China-CLIFs、CLIF-C ACLFs、MELD、MELD-Na、MELD 3.0和NACSELD-ACLFs进行比较。最后,在三个非亚洲患者队列中验证了China-CLIFs的预后效能。结果显示,China-CLIFs预测28天/90天无移植死亡率预后效能与CLIF-C ACLFs、MELD 3.0相当,但显著优于MELD、MELD-Na和NACSELD-ACLFs。


简评:ACLF的诊断标准与预后评估体系在全球范围内尚未形成统一,该研究利用在不同病因构成的四个队列——乙肝为主的COSSH队列和酒肝为主的三个非亚洲队列CANONIC、 PREDICT、ACLARA中分别应用CLIF标准和COSSH标准,COSSH标准捕获了CLIF标准遗漏的22.6%危重患者。


在预测28天无移植死亡率方面,COSSH-ACLF Ⅱ评分在COSSH队列中,其判别效能显著优于CLIF-C ACLFs、MELD、MELD-Na、MELD 3.0、NACSELD-ACLFs。然而,在预测90天无移植死亡率方面与China-CLIFs、CLIF-C ACLFs相当。由于三个非亚洲队列(CANONIC、PREDICT和ACLARA)缺乏尿素未能对COSSH-ACLF Ⅱ评分进行验证,在可评估的模型中,China-CLIFs评分与CLIF-C ACLFs相比表现相当,因此COSSH-ACLF Ⅱ预后评估在全球范围内是否适用仍待进一步研究。


02

Sturm L, Schultheiss M, Stöhr F, et al. Freiburg index of post-TIPS survival (FIPS) identifies patients at risk of further decompensation and ACLF after TIPS. J Hepatol. 2025;83(2):348-357. doi:10.1016/j.jhep.2025.01.030(IF=33.0)


简述:该研究在2137例接受TIPS术治疗的患者中,筛选出1359例因难治性或反复腹水/静脉曲张出血行TIPS治疗的患者,采用弗莱堡TIPS后存活指数(FIPS)将患者分为高风险组(≥0.92)与低风险组(<0.92),分析了两群患者的3个月及1年的不良预后累积发病率及竞争独立危险因素。


研究结果显示,TIPS术后FIPS高风险患者三个月内再发生失代偿事件的频率显著高于低风险患者(累积发病率CIF:0.58 vs. 0.38,P<0.001),失代偿事件以肝性脑病(CIF:0.42 vs. 0.23,P<0.001)、持续腹水(CIF:0.18 vs. 0.12,P=0.013)、细菌感染(CIF:0.25 vs. 0.14,P<0.001)为主。此外,高风险患者发生ACLF的比例也显著更高(CIF:0.18 vs. 0.08;P=0.008)。


通过进一步的竞争风险回归分析发现,高FIPS评分可独立预测TIPS术后3个月内发生失代偿事件的风险(亚分布风险比1.974;95%CI:1.531-2.544;P<0.001)和ACLF发生的风险(亚分布风险比2.586;95%CI:1.449-4.616;P=0.001)。此外,通过Cox分析发现TIPS术后出现失代偿事件或发生ACLF显著缩短无移植生存期。


简评:本研究入组的是西方国家的肝硬化患者,在以酒精性肝硬化为主的多中心队列中应用FIPS评分区分两群患者,验证了≥0.92的高风险患者较<0.92的低风险患者3个月再次出现失代偿或者发生ACLF及一年的不良预后的风险增高。FIPS低风险患者适宜TIPS治疗降低门脉高压,而对于高风险患者,应及早评估肝移植。但在以乙肝为主中国的肝硬化患者,因门脉高压行TIPS治疗,其病因、失代偿的情况存在差异,因此研究的结论在中国是否适用仍待进一步研究。


03

Verma N, Garg P, Kaur P, et al. Identification and validation of RIPK3 as a novel biomarker to predict outcomes in patients with acutely decompensated cirrhosis. J Hepatol. Published online August 12, 2025. doi:10.1016/j.jhep.2025.07.034(IF=33.0)


简述:该研究在前瞻性多中心多队列的AD和ACLF患者中分析细胞死亡生物标记物(M30,M65,GasD,RIPK3,MLKL)的表达水平与疾病严重程度、病情转归和30天内死亡率之间的关系,并开发基于这些标志物的预后模型和个性化治疗策略。


结果显示,随着AD/ACLF等级的增加,细胞坏死为代表的RIPK3水平随着严重程度的增加而逐渐增加(P<0.001),且在病情转归(包括好转/恶化及稳定)的百分比变化比较中,RIPK3水平的变化幅度在所有检测标志物中最为显著。


此外,RIPK3是30天死亡的最强危险因素(OR:8.32;95%CI:4.39-15.74,P<0.001),且在第七天与第一天的动态表达%ΔRIPK3的死亡率预测AUC:0.907(95%CI:0.842-0.972,P<0.001)。


基于RIPK3构建的死亡率预测模型作为第一步划分高危与低危患者,纳入了RIPK3-ULN>2.261、CLIF-C OF和白细胞计数指标,其AUC为0.839(95%CI:0.799-0.904,P<0.001),两个独立队列进一步验证,AUC分别为0.752和0.794。此外,肝活检结果显示,细胞坏死途径中RIPK3的上游RIPK1、裂解的GasD表达增加,并与死亡率相关,而凋亡相关的TUNEL在AD/ACLF和存活/死亡之间没有显著差异。


基于上述发现,提出高危患者应予以RIPK3靶向干预,低危患者中GasD>2.421患者予以GasD靶向干预;而对于GasD<2.421患者则需动态监测%ΔRIPK3,%ΔRIPK3>21.43为发生死亡的高风险人群,需要RIPK3靶向干预。


简评:本研究提出RIPK3相关的细胞死亡是AD/ACLF中器官衰竭和死亡的重要驱动因素,将RIPK3整合到预后模型中可以增强风险分层以指导针对坏死的个性化细胞死亡的治疗,GasD和RIPK3的动态变化作为作为疾病进展和治疗反应的生物标志物,为临床医生提供了一个新的工具来预测患者的预后,并可能指导未来的治疗策略。但将RIPK3和GasD作为潜在治疗靶点的假设仍需通过随机对照试验进一步验证。此外,RIPK3水平的动态变化虽已在死亡率较低、样本量较小的队列中得到初步验证,但其可靠性仍需更多研究予以确认。

版面编辑:张雪   责任编辑:付丽云
本内容仅供医学专业人士参考
相关搜索:  ACLF

发表评论

提交评论
  • 相关推荐
  • 学术领域
返回
顶部