EASL2022丨胡爱荣教授团队:建议判断肝功能正常慢乙肝患者明显肝组织病理损伤的ALT阈值调整为25U/L

国际肝病 发表时间:2022/7/9 20:34:32

当前,血清丙氨酸转氨酶(ALT)依然是反映肝脏损伤程度最直接、灵敏和经济的指标。而ALT正常值上限(ULN)的判断标准尚不一致。在缺少肝脏组织病理的情况下,建议ALT持续正常(30岁或HBV相关肝外表现、肝硬化)定期随访。ALT持续正常的人群中仍有一部分存在肝组织学的明显损伤,已是不争的事实。
 
因此,相关指南及研究建议降低ALT的ULN标准。而不同ULN标准下ALT正常慢性HBV感染者的肝组织病理改变及临床特征是否存在差异?相关的研究报道不多。中华医学会肝病学分会《扩大慢性乙型肝炎抗病毒治疗的专家意见》建议开始治疗的ALT阈值为男性30 U/L、女性19 U/L。但该ALT阈值是否适合我国慢性HBV感染者,仍需更多的研究不断验证。
 
第57届欧洲肝病研究学会年会(EASL2022)暨2022年国际肝脏大会TM(ILC 2022)上,我国中国科学院大学宁波华美医院(宁波市第二医院)胡爱荣教授团队介绍了相关研究最新结果:不同ULN组别ALT正常慢性HBV感染者肝组织病理严重程度的差异有统计学意义,判断明显肝组织病理损伤的ALT阈值(诊断临界值)建议调整为25 U/L(摘要编号:THU418)。《国际肝病》特此报道,研究内容分享如下。
 
 
研究背景
 
慢性HBV感染者疾病进展的评估是以临床数据的综合判断为基础,而ALT+/- AST依然是反映肝脏损伤程度最直接、最常用和经济的指标。目前,ALT正常值上限(ULN)(正常参考值区间)的标准尚不一致。在扩大慢性HBV感染者治疗适应证的背景下,仍有必要研究不同ULN标准ALT正常慢性HBV感染者肝组织病理改变及临床特征的差异。本研究比较分析肝功能正常慢性HBV感染者ALT不同ULN组别的临床病理特征,并探究判断明显肝组织病理损伤的ALT阈值。
 
研究方法
 
收集2014年1月至2020年12月667例住院接受肝穿刺活检术、ALT持续正常且HBV DNA阳性(>30 IU/ml)患者的临床资料。根据ALT的ULN标准分为ALT Ⅰ组(男性<30 U/L,女性<19 U/L)、ALT Ⅱ组(30 U/L≤男性<35 U/L,19 U/L≤女性<25 U/L)、ALT Ⅲ组(35 U/L≤男性<40 U/L,25 U/L≤ 女性<40 U/L);根据肝脏病理学改变分为GⅠ组(G<2)与GⅡ组(G≥2)、SⅠ组(S<2)与SⅡ组(S≥2)、GSⅠ组(无显著病理损伤组,即G<2+S<2)与GSⅡ组(显著病理损伤组,即≥G2和/或≥S2)。比较分析其肝脏炎症分级(G)及纤维化分期(S)、与临床特征的相关性及判断明显肝组织病理损伤的ALT阈值。
 
研究结果
 
ALTⅠ组、Ⅱ组、Ⅲ组的肝组织病理改变:三组患者GⅡ的构成比分别为18.42%、25.78%、35.85%,SⅡ的构成比分别为20.53%、24.22%、33.33%,GSⅡ的构成比分别为26.05%、32.03%、46.54%,差异均有统计学意义(P均<0.001)。见表1。
 
表1.不同ALT的ULN标准分组之间的肝组织病理学改变
 
ALTⅠ组、Ⅱ组、Ⅲ组的基线特征比较:总体比较:HBeAg阳性、肝脂肪变及肝组织HBcAg阳性的构成、年龄、总胆红素(TBiL)、白蛋白(ALB)、球蛋白(GLB)、白蛋白与球蛋白比值(AGR)、碱性磷酸酶(ALP)、γ-谷氨酰转移酶(GGT)、白细胞(WBC)、中性粒细胞与淋巴细胞比值(NLR)、血小板(PLT)、HBV DNA及FIB-4水平的差异均无统计学意义,仅性别及肝组织HBsAg阳性的构成、ALT、AST、APRI及LIF-5水平的差异有统计学意义(P均<0.001)。两两比较:各组间ALT、AST、APRI及 LIF-5水平的差异均有统计学意义(P<0.05)。见表2。
 
表2.不同ALT的ULN标准分组之间的基线特征比较
 
肝组织损伤的影响因素:考虑到各诊断模型包含了年龄、ALT、AST、PLT等可能对统计分析产生干扰的指标以及肝穿刺活检术的有创性和难普及性,在纳入所有自变量分析的基础上,剔除“各诊断模型”和“肝组织HBsAg、HBcAg染色强度、肝脂肪变”自变量后再次分析。无论ALT的分组如何,影响肝组织病理严重程度的独立危险因素主要为PLT水平(负相关)、GGT水平(正相关)、AGR(负相关)、HBV DNA水平(负相关)。见表3。
 
表3.影响肝组织显著病理损伤(GSⅠ与GSⅡ)的因素分析
 
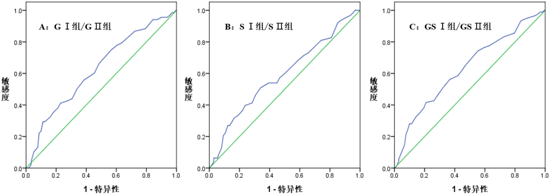
ALT与AST的最佳ROC曲线阈值(诊断临界值):以667例ALT<40 IU/L的数据纳入分析。所有患者中,ALT判断GⅠ组与GⅡ组、SⅠ组与SⅡ组、GSⅠ组与GSⅡ组的AUC分别为0.545、0.626、0.635,最大约登指数对应ALT的ROC曲线阈值分别为21.5 U/L、22.5 U/L、25.6 U/L。男性患者中,ALT的AUC分别为0.634、0.630、0.630,最大约登指数对应ALT的ROC曲线阈值分别为25.6 U/L、23.5 U/L、25.6 U/L;女性患者中,ALT的AUC分别为0.626、0.589、0.631,最大约登指数对应ALT的ROC曲线阈值分别为17.5 U/L、22.5 U/L、25.5 U/L。所有患者中,AST的AUC分别为0.605、0.684、0.661,最大约登指数对应AST的ROC曲线阈值分别为26.5 U/L、23.5 U/L、25.5 U/L。
 
当取ALT≥25或AST≥25时,其敏感度最高(72.43%);当取ALT≥26+AST≥26时,其特异度最高(81.46%);但无论ALT与AST的取值如何,其阳性预测值与阴性预测值、阳性似然比与阴性似然比的差异均不显著。因此,本研究取ALT阈值(诊断临界值)为25 U/L。见表4,图1、2、3。
 
表4.ALT及AST不同取值判断GSⅠ与GSⅡ的效能比较
 
图1.不分性别ALT判断肝组织损伤的ROC曲线
 
图2.男性ALT判断肝组织损伤的ROC曲线
 
图3.女性ALT判断肝组织损伤的ROC曲线
 
研究结论
 
不同正常值上限组别ALT正常慢性HBV感染者肝组织病理严重程度的差异有统计学意义,判断明显肝组织病理损伤的ALT阈值(诊断临界值)建议调整为25 U/L。
 
研究者说
 
虽然近年来各种反映肝组织病理学的无创性诊断方法(血清学标志物、无创影像诊断技术和诊断模型等)不断发展,但ALT升高被认为是宿主对HBV感染肝细胞免疫应答损伤的结果,依然是判断治疗指征及肝脏疾病严重程度最常用的指标。因此,国外相关指南及相关研究建议降低ALT的ULN标准。本研究同样发现,在ALT<40 U/L的人群中,随着ALT水平的升高,其肝组织学损伤亦更为严重,在ALTⅢ组中,明显肝组织病理损伤(GSⅡ)的构成比高达46.54%。因此,有必要降低启动抗病毒治疗的ALT阈值。
 
世界卫生组织(WHO)建议为男性30 U/L、女性19 U/L,美国肝病学会(AASLD)建议为男性35 U/L、女性25 U/L,欧洲肝病学会(EASL)和亚太肝病学会(APASL)则建议为40 U/L,而我国的ULN标准各不相同,常规化学参考区间行业标准(WS/T 404.1-2012、WS/T 404.1-2012)建议为男性50 U/L、女性40 U/L。对比我国与其他较低的ULN标准,则可能会遗漏一部分需要治疗的患者。因此,中华医学会肝病学分会《扩大慢性乙型肝炎抗病毒治疗的专家意见》建议开始治疗的ALT阈值为男性30 U/L、女性19 U/L,以利于减少相关的疾病进展,实现最大获益。
 
本研究单一ALT指标判断GⅡ、SⅡ及GSⅡ的价值(AUC)并不高。ALT水平的影响因素包括性别、年龄、身高等人口学特征,疾病状态以及检测试剂、仪器等方法学的差异。因此反映肝脏疾病严重程度的血清学指标不仅只有ALT水平,还需关注AST及GGT水平的升高、A/G、PLT及HBV DNA水平的下降、以及诊断模型APRI、FIB-4、LIF–5的升高等。
 
我们的这项研究依据ROC曲线及约登指数寻求ALT的最佳ROC曲线阈值。根据ALT与AST不同取值的诊断效能比较,本研究建议判断明显肝组织病理损伤(GSⅡ)的ALT阈值(诊断临界值)调整为25 U/L。
 
需要说明的是,ALT的最佳ROC曲线阈值不同于临床检验正常参考值(或参考值范围)。正常参考值是以正常人群为研究对象的一个描述性指标;而ROC曲线阈值(诊断临界值)则同时考察病人(需要治疗)和非病人(不需要治疗)两个群体,以确定用于疾病诊断(治疗与否)的切点。我们还将在后续的研究中扩大样本量并加强随访管理,以进一步对ALT的诊断临界值进行论证。
 
 
专家简介
 
胡爱荣
 
中国科学院大学宁波华美医院主任医师宁波大学、皖南医学院、绍兴文理学院硕士生导师,宁波市肝病研究所常务副所长;浙江省首届十佳感染科医师,浙江省151人才、浙江省医坛新秀人才,宁波市优秀中青年卫生技术人才、宁波市领军和拔尖人才;浙江省区域专病中心(感染科)、浙江省省市共建重点学科(传染病学)、宁波市临床特色重点专科(肝病)后备带头人,国家、浙江省省感染性疾病临床医学研究中心核心单位核心PI;全国疑难及重症肝病攻关协作组委员,中国中西医结合内分泌与代谢病专业委员会委员,中华医学会热带病与寄生虫分会青年委员,浙江省医学会热带病与寄生虫病学分会委员、浙江省数理医学学会肝病分会常委、浙江省中西医结合感染病专业委员会常委、肝病专委会委员;主持或主要参与国家自然基金,中国肝炎防治基金会,浙江省自然基金、浙江省基础公益项目,浙江省医药卫生省部培育、省市共建等项目22项;获得浙江省医药卫生科技二等奖(第1位)、宁波市科技进步奖二等奖、三等奖(第1位)、浙江省中医药科技进步奖二等奖(第3位)各1项;发表论文160余篇;主编专业书籍1本,副主编、副主译5本,参编参译5本。
 
往期推荐
 
 
 
 
 
 
版面编辑:张雪   责任编辑:无
本内容仅供医学专业人士参考
相关搜索:  慢乙肝|EASL2022

发表评论

提交评论
  • 相关推荐
  • 学术领域
返回
顶部